
热带病与寄生虫学 ›› 2025, Vol. 23 ›› Issue (4): 199-204,210.doi: 10.20199/j.issn.1672-2302.2025.04.002
傅佳璐1(
), 郑尔达2(
), 戚艳波2, 吴林波3, 何继波2(
), 杨锐3(
)
收稿日期:2025-06-30
出版日期:2025-08-20
发布日期:2025-09-19
通信作者:
何继波,E-mail: ynhejibo@163.com;杨锐,E-mail: jody877@163.com
作者简介:傅佳璐,女,硕士在读,研究方向:公共卫生。E-mail:
FU Jialu1(
), ZHENG Erda2(
), QI Yanbo2, WU Linbo3, HE Jibo2(
), YANG Rui3(
)
Received:2025-06-30
Online:2025-08-20
Published:2025-09-19
Contact:
HE Jibo, E-mail: ynhejibo@163.com; YANG Rui, E-mail: jody877@163.com
摘要:
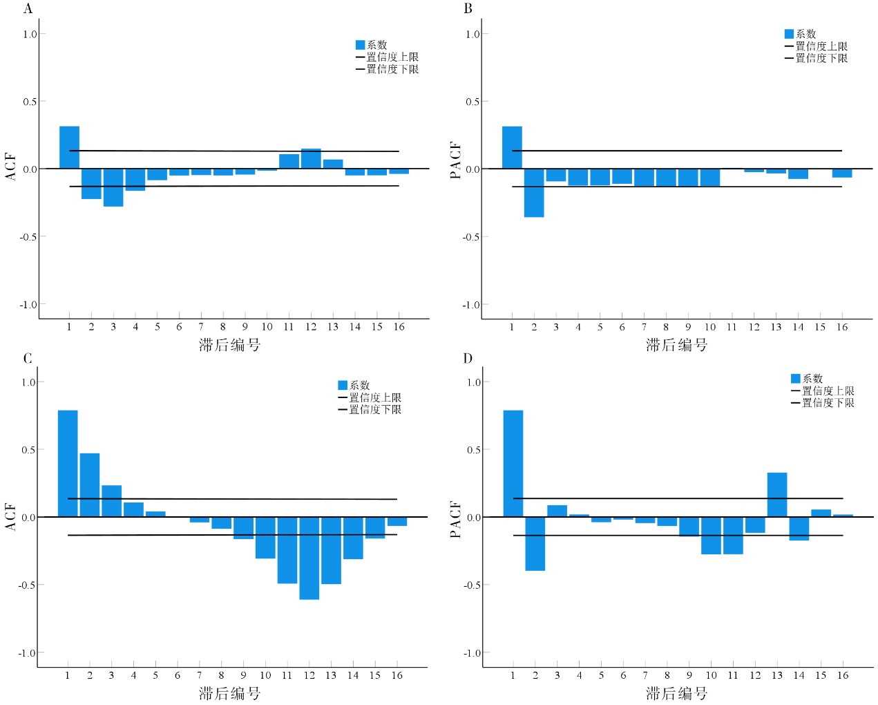
目的 分析云南省境外输入登革热的流行特征并对发病情况进行预测,为登革热的防控提供参考。方法 从中国疾病预防控制信息系统中获取2005—2023年云南省境外输入登革热病例的相关资料,使用描述性研究方法分析其流行特征;使用2005—2023年的病例数据拟合SARIMA模型,以2024年病例数据评价模型。结果 2005—2023年,云南省累计报告境外输入登革热病例6 030例,占登革热报告病例总数的19.50%。境外输入病例报告主要集中在8—11月,累计报告5 094例(占84.48%)。报告病例数前3位的州(市)分别为德宏傣族景颇族自治州(2 610例,占43.28%)、西双版纳傣族自治州(1 688例,占27.99%)和临沧市(918例,占15.22%);病例主要来源国为缅甸(4 907例,占81.38%)。男、女病例数分别为3 477例(占57.66%)和2 553例(占42.34%);主要集中在20~49岁(4 063例,占67.38%);农民最多(2 575例,占42.70%)。SARIMA(1,0,1)(1,0,1)12模型的拟合效果好,2024年各月份的实际病例数均在模型预测值的95%置信区间内。结论 云南省境外输入登革热病例呈现明显季节性,病例主要来自缅甸,输入地集中于德宏傣族景颇族自治州与西双版纳傣族自治州。建议结合季节与地域特征,强化入境重点人群的防控。SARIMA(1,0,1)(1,0,1)12模型能较好地拟合云南省境外输入登革热的月发病数,适合用于其发病趋势的短期预测。
中图分类号:
傅佳璐, 郑尔达, 戚艳波, 吴林波, 何继波, 杨锐. 2005—2023年云南省境外输入登革热流行特征及预测研究[J]. 热带病与寄生虫学, 2025, 23(4): 199-204,210.
FU Jialu, ZHENG Erda, QI Yanbo, WU Linbo, HE Jibo, YANG Rui. Epidemiological characteristics and prediction of overseas imported dengue fever in Yunnan Province from 2005 to 2023[J]. Journal of Tropical Diseases and Parasitology, 2025, 23(4): 199-204,210.
表1
2005—2023年云南省登革热境外输入病例情况
| 年份 | 报告病例数(例) | 境外输入病例数(例) | 境外输入病例 构成比(%) |
|---|---|---|---|
| 2005 | 1 | 1 | 100.00 |
| 2006 | 18 | 12 | 66.67 |
| 2007 | 7 | 6 | 85.71 |
| 2008 | 89 | 47 | 52.81 |
| 2009 | 36 | 19 | 52.78 |
| 2010 | 39 | 24 | 61.54 |
| 2011 | 34 | 26 | 76.47 |
| 2012 | 45 | 37 | 82.22 |
| 2013 | 1 610 | 155 | 9.63 |
| 2014 | 338 | 188 | 55.62 |
| 2015 | 2 166 | 646 | 29.82 |
| 2016 | 541 | 315 | 58.23 |
| 2017 | 3 556 | 1 621 | 45.58 |
| 2018 | 944 | 260 | 27.54 |
| 2019 | 6 914 | 1 438 | 20.80 |
| 2020 | 263 | 15 | 5.70 |
| 2021 | 14 | 4 | 28.57 |
| 2022 | 567 | 24 | 4.23 |
| 2023 | 13 749 | 1 192 | 8.67 |
| 合计 | 30 931 | 6 030 | 19.50 |
表2
2005—2023年云南省登革热境外输入病例的地区分布
| 州(市) | 境外输入病例数(例) | 县(市、区)(境外输入病例数) |
|---|---|---|
| 德宏傣族景颇族自治州 | 2 610 | 瑞丽市(2 026例)、盈江县(290例)、陇川县(189例)、芒市(102例)、梁河县(3例) |
| 西双版纳傣族自治州 | 1 688 | 勐海县(1 225例)、景洪市(236例)、勐腊县(227例) |
| 临沧市 | 918 | 镇康县(468例)、耿马县(407例)、临翔区(29例)、沧源县(5例)、云县(4例)、双江县(4例)、凤庆县(1例) |
| 昆明市 | 589 | 官渡区(470例)、五华区(77例)、西山区(26例)、盘龙区(10例)、安宁市(5例)、呈贡区(1例) |
| 普洱市 | 88 | 孟连县(44例)、思茅区(24例)、澜沧县(11例)、墨江县(2例)、镇沅县(2例)、江城县(2例)、景东县(1例)、景谷县(1例)、西盟县(1例) |
| 保山市 | 79 | 腾冲市(59例)、施甸县(10例)、龙陵县(6例)、隆阳区(4例) |
| 红河哈尼族彝族自治州 | 19 | 蒙自市(6例)、河口县(6例)、开远市(4例)、弥勒市(3例) |
| 玉溪市 | 12 | 红塔区(6例)、江川区(1例)、通海县(1例)、华宁县(1例)、易门县(1例)、新平县(1例)、元江县(1例) |
| 曲靖市 | 9 | 麒麟区(4例)、罗平县(2例)、陆良县(1例)、师宗县(1例)、宣威市(1例) |
| 大理白族自治州 | 8 | 祥云县(4例)、大理市(3例)、弥渡县(1例) |
| 昭通市 | 4 | 昭阳区(2例)、永善县(1例)、镇雄县(1例) |
| 文山壮族苗族自治州 | 3 | 砚山县(2例)、文山市(1例) |
| 楚雄彝族自治州 | 2 | 楚雄市(2例) |
| 怒江傈僳族自治州 | 1 | 泸水市(1例) |
表3
2005—2023年云南省境外输入登革热病例的人群分布
| 人群特征 | 境外输入登革热病例数(例) | 构成比(%) |
|---|---|---|
| 性别 | ||
| 男性 | 3 477 | 57.66 |
| 女性 | 2 553 | 42.34 |
| 年龄(岁) | ||
| 0~9 | 353 | 5.85 |
| 10~19 | 606 | 10.05 |
| 20~29 | 1 535 | 25.46 |
| 30~39 | 1 444 | 23.95 |
| 40~49 | 1 084 | 17.98 |
| 50~59 | 641 | 10.63 |
| ≥60 | 367 | 6.09 |
| 职业 | ||
| 农民 | 2 575 | 42.70 |
| 商业服务人员 | 1 145 | 18.99 |
| 学生 | 524 | 8.69 |
| 工人及民工 | 382 | 6.33 |
| 家务及待业 | 378 | 6.27 |
| 散居儿童 | 196 | 3.25 |
| 干部及离退休人员 | 188 | 3.12 |
| 其他 | 484 | 8.03 |
| 不详 | 158 | 2.62 |
表4
SARIMA模型备选表
| SARIMA模型 | 平稳R2 | 正态化BIC | MAPE | Ljung-Box Q检验 | |
|---|---|---|---|---|---|
| Q值 | P值 | ||||
| (1,0,1)(1,1,1)12 | 0.802 | 7.647 | 380.999 | 4.015 | 0.995 |
| (1,0,1)(1,1,0)12 | 0.796 | 7.644 | 339.480 | 6.428 | 0.972 |
| (1,0,1)(0,1,1)12 | 0.800 | 7.629 | 359.341 | 7.203 | 0.952 |
| (1,0,1)(1,0,0)12 | 0.698 | 7.614 | 262.746 | 10.087 | 0.814 |
| (1,0,1)(1,0,1)12 | 0.714 | 7.585 | 287.397 | 7.816 | 0.899 |
| [1] | 国家卫生健康委办公厅, 国家中医药局综合司. 关于印发麻疹等传染病诊疗方案(2024年版)的通知:国卫办医急函〔2024〕268号[A/OL]. (2024-07-19)[2025-06-29]. https://www.nhc.gov.cn/ylyjs/gzdt/202407/430f72d43b4c4d70b12f0edbbf9eaf94.shtml. |
| [2] | 张荣兵, 洪劲, 田荣, 等. 2015—2021年云南省境外输入登革热和疟疾病例特征分析[J]. 预防医学, 2023, 35(2):141-143. |
| [3] | 赵峥, 李昱, 牟笛, 等. 2016—2018年中国重点省份境外输入性登革热病例的时空分析[J]. 中华流行病学杂志, 2020, 41(11):1808-1812. |
| [4] | 国家疾控局综合司, 国家卫生健康委办公厅. 关于印发登革热防控方案(2025年版)的通知:国疾控综传防发〔2015〕13号[A/OL].(2025-06-27)[2025-06-29]. https://www.ndcpa.gov.cn/jbkzzx/c100014/common/content/content_1938557342511960064.html. |
| [5] | 杨建军, 冯燕, 梁舒, 等. 2010—2021年甘肃省手足口病监测分析及模型预测[J]. 疾病监测, 2024, 39(3):318-323. |
| [6] | 高桂玲, 吕锡宏, 孙中兴. 基于SIRIMA模型的新冠肺炎疫情对猩红热流行影响的分析:以上海市松江区为例[J]. 热带病与寄生虫学, 2022, 20(6):301-306. |
| [7] |
贾豫晨, 李宁, 郑尔达, 等. 基于ARIMA模型探讨新型冠状病毒感染防控措施对云南省登革热流行的影响[J]. 中国热带医学, 2024, 24(10):1173-1179.
doi: 10.13604/j.cnki.46-1064/r.2024.10.07 |
| [8] | 杨慧欣, 赵晨皓, 雒静静, 等. 2011—2018年我国登革热疫情时间序列分析及空间自相关分析[J]. 中华疾病控制杂志, 2019, 23(10):1250-1254. |
| [9] | 孙梦彩, 张晓阳, 周权, 等. ARIMA模型在登革热高发城市发病预测中的应用[J]. 中国预防医学杂志, 2022, 23(11):840-844. |
| [10] | 景盼姣, 赵娥, 孙高峰, 等. 2015年—2020年乌鲁木齐市急性心脑血管疾病死亡流行特征及时间序列预测研究[J]. 中国病案, 2023, 24(2):50-54. |
| [11] | 郑磊, 翟倚文. 时间序列分析法在传染病发病率预测中的应用[J]. 海峡预防医学杂志, 2021, 27(3):99-101. |
| [12] | Zaw W, Lin Z, Ko Ko J, et al. Dengue in Myanmar: Spatiotemporal epidemiology, association with climate and short-term prediction[J]. PLoS Negl Trop Dis, 2023, 17(6):e0011331. |
| [13] |
曾小平, 陈琴, 林春燕. 海口市2010—2020年输入性登革热流行病学特征[J]. 中国热带医学, 2021, 21(9):828-832.
doi: 10.13604/j.cnki.46-1064/r.2021.09.03 |
| [14] |
姜进勇, 郭晓芳, 唐烨榕, 等. 云南省2004—2014年输入性登革热病例监测与防控对策分析[J]. 中国媒介生物学及控制杂志, 2016, 27(1):5-8.
doi: 10.11853/j.issn.1003.4692.2016.01.002 |
| [15] |
李杨思琪, 李曼, 贾文爽, 等. 云南省埃及伊蚊生态习性研究进展[J]. 中国媒介生物学及控制杂志, 2021, 32(2):247-253.
doi: 10.11853/j.issn.1003.8280.2021.02.026 |
| [16] | 陈莉华, 念鹏英, 沈秀莲, 等. 云南省2013—2022年登革热流行趋势及暴发疫情特征分析[J]. 中国媒介生物学及控制杂志, 2024, 35(1):63-68,73. |
| [17] | 岳玉娟, 伦辛畅, 董朝良. 2005—2023年中国输入性登革热流行特征分析[J]. 热带病与寄生虫学, 2024, 22(4):198-203,238. |
| [18] |
范建华, 高阳, 朱进, 等. 云南省西双版纳州2006—2020年登革热流行特征及媒介伊蚊监测分析[J]. 中国媒介生物学及控制杂志, 2022, 33(2):245-251,304.
doi: 10.11853/j.issn.1003.8280.2022.02.015 |
| [19] |
伦辛畅, 杨锐, 吴海霞, 等. 2005—2019年云南省缅甸登革热输入病例流行特征分析[J]. 中国媒介生物学及控制杂志, 2022, 33(1):108-113.
doi: 10.11853/j.issn.1003.8280.2022.01.020 |
| [20] | 王明雯, 侯雨, 毛彤瑶, 等. 自回归滑动平均混合模型在辽宁省其他感染性腹泻发病预测中的应用[J]. 疾病监测, 2021, 36(1):69-73. |
| [21] | 张顺先, 邱琪, 王英. 我国手足口病重症患者数自回归移动平均模型预测研究[J]. 病毒学报, 2017, 33(1):77-81. |
| [22] | 刘建昭, 刘天, 姚梦雷, 等. 乘积季节ARIMA模型在乙肝发病率预测中的运用[J]. 医学动物防制, 2018, 34(7):640-643. |
| [23] | 谭恩丽, 侯慧玉, 包海荣, 等. 采用自回归移动平均模型预测中国流感病例数[J]. 病毒学报, 2017, 33(5):699-705. |
| [1] | 段陈林, 陈水连, 邱劲松, 石凌, 王智宇, 周银柱. 2011—2022年长沙市肾综合征出血热流行特征及时空聚集性[J]. 热带病与寄生虫学, 2025, 23(5): 283-288. |
| [2] | 陈琴, 吴利楠, 赖石凤, 蒋明明, 刘文辉. 2014—2023年广州市登革热流行病学特征分析[J]. 热带病与寄生虫学, 2025, 23(4): 205-210. |
| [3] | 严可, 冯静, 周蓉, 杜训波, 刘辉, 王瑶. 2011—2023年成都市登革热流行特征和时间趋势分析[J]. 热带病与寄生虫学, 2025, 23(4): 211-215. |
| [4] | 万佳, 牛丛, 王颖, 王猛, 吕子全, 张振, 逯建华, 冯铁建, 孔东锋. 深圳市两起建筑工地登革热暴发疫情的流行病学调查及处置分析[J]. 热带病与寄生虫学, 2025, 23(4): 216-221,234. |
| [5] | 郑尔达, 贾豫晨, 刘思娴, 沈秀莲, 黄甜, 何继波, 刘慧慧. 云南省诺如病毒感染流行特征与趋势预测[J]. 热带病与寄生虫学, 2025, 23(4): 222-228. |
| [6] | 赵锦, 周银柱, 邱劲松, 陈水连. 2014—2023年长沙市水痘流行特征与传播动力学分析[J]. 热带病与寄生虫学, 2025, 23(4): 229-234. |
| [7] | 黄璐璐, 刘婧姝, 周正斌, 罗卓韦, 李元元, 陈军虎, 李石柱. 2011—2023年我国犬源型内脏利什曼病流行特征分析[J]. 热带病与寄生虫学, 2025, 23(3): 131-136,148. |
| [8] | 苏颖, 王斌冰, 柴瑜, 董燕, 王军平, 张宁, 宋菲扬. 2012—2024年安徽省急性乙型肝炎流行特征及疫苗接种情况分析[J]. 热带病与寄生虫学, 2025, 23(3): 144-148. |
| [9] | 袁睿, 李柯, 张乐乐, 于彬彬, 杨向东, 王鹏, 张志杰. 空间零膨胀泊松模型在云南省布鲁氏菌病空间分析中的应用[J]. 热带病与寄生虫学, 2025, 23(3): 160-164,188. |
| [10] | 翟前前, 刘慧慧, 王俊锋, 蔡剑, 安光旭, 张洋, 姚来顺. 2011—2023年吉林省肾综合征出血热流行特征及时空聚集性分析[J]. 热带病与寄生虫学, 2025, 23(3): 165-170. |
| [11] | 李永盛, 杜训波, 龙露, 魏荣杰, 王瑶, 王亮. 2017—2023年成都市猩红热流行特征及时空聚集性分析[J]. 热带病与寄生虫学, 2025, 23(3): 171-175,182. |
| [12] | 刘言哲, 宋杨, 刘凤凤, 丁凡, 沈若寒, 孟欣, 张彦平, 常昭瑞. 2010―2022年我国柯萨奇病毒A16型手足口病流行特征分析[J]. 热带病与寄生虫学, 2025, 23(2): 65-69,97. |
| [13] | 李则颖, 林燕, 贾豫晨, 黄甜, 郑尔达, 沈秀莲, 陈莉华, 何继波. 2020—2024年云南省手足口病再感染病例的流行特征及风险因素分析[J]. 热带病与寄生虫学, 2025, 23(2): 70-74,80. |
| [14] | 于欣桐, 赵庆龙, 徐长喜, 李美娜. 2017—2023年吉林省手足口病流行特征及病原学结果分析[J]. 热带病与寄生虫学, 2025, 23(2): 81-85. |
| [15] | 代敏, 赵振希, 张筱碟, 张小乔, 谢鹏留, 凌珏, 陆渊, 毛志鹏. 2010—2024年昆明市手足口病流行病学特征与病原学监测结果分析[J]. 热带病与寄生虫学, 2025, 23(2): 86-90,115. |
| 阅读次数 | ||||||
|
全文 |
|
|||||
|
摘要 |
|
|||||