热带病与寄生虫学 ›› 2025, Vol. 23 ›› Issue (4): 249-253.doi: 10.20199/j.issn.1672-2302.2025.04.011

• 临床研究 • 上一篇    下一篇

重症与非重症输入性疟疾患者临床特征分析

余菲丹1,2(), 张滔3, 陈林1,2, 朱圣涛1,2, 尹华发1,2, 谢琴秀1()   

  1. 1.安徽医科大学第一附属医院感染科安徽合肥 230022
    2.安徽省公共卫生临床中心
    3.安徽省疾病预防控制中心
  • 收稿日期:2025-02-28 出版日期:2025-08-20 发布日期:2025-09-19
  • 通信作者: 谢琴秀,E-mail: xqx1997@163.com
  • 作者简介:余菲丹,女,硕士,主治医师,研究方向:传染病诊治。E-mail: yfd4580@126.com
  • 基金资助:
    安徽省卫生健康科研项目(AHWJ2024Aa20278)

Clinical characteristic in patients with severe or non-severe imported malaria

YU Feidan1,2(), ZHANG Tao3, CHEN Lin1,2, ZHU Shengtao1,2, YIN Huafa1,2, XIE Qinxiu1()   

  1. 1. Department of Infections Diseases, The First Affiliated Hospital of Anhui Medical University, Hefei 230022, Anhui Province, China
    2. Anhui Public Health Clinical Center
    3. Anhui Provincial Center for Disease Control and Prevention
  • Received:2025-02-28 Online:2025-08-20 Published:2025-09-19
  • Contact: XIE Qinxiu, E-mail: xqx1997@163.com

摘要:

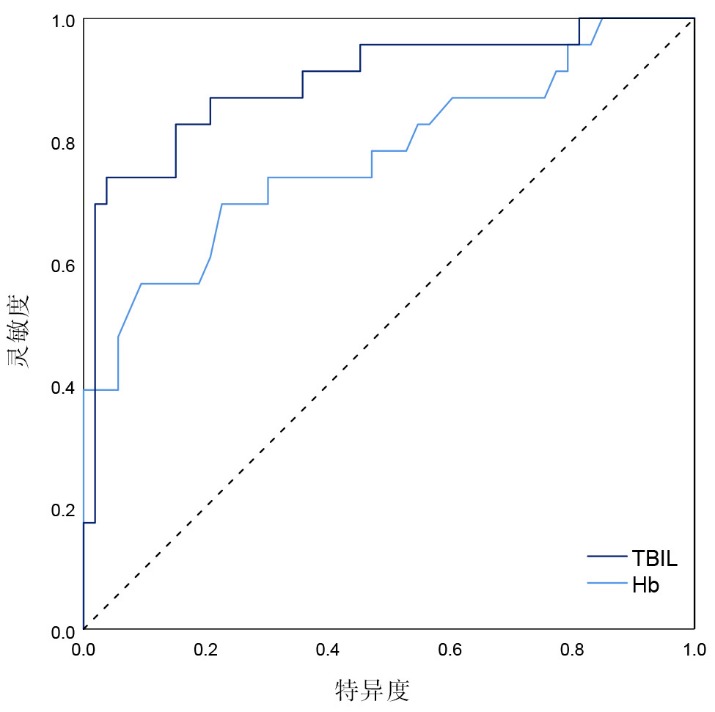
目的 了解重症输入性疟疾的临床特征及预测指标,为早期识别重症疟疾提供依据。方法 收集2013年12月至2024年9月在安徽医科大学第一附属医院感染病科住院的输入性疟疾确诊病例的临床资料,对比分析重症和非重症疟疾患者的一般情况、临床特征、实验室检查结果等,采用logistic回归分析和受试者工作特征(receiver operating characteristic, ROC)曲线评价相关实验室指标对重症疟疾的预测价值。结果 共纳入输入性疟疾确诊病例76例,其中重症23例,非重症53例。输入来源地主要为非洲(占97.37%,74/76)。恶性疟58例(占76.32%),重症组恶性疟占比明显高于非重症组(95.65% vs. 67.92%,χ2=6.82,P<0.05)。重症组畏寒寒战、酱油样尿发生率高于非重症组;与非重症组相比,重症组的总胆红素、丙氨酸氨基转移酶、天冬氨酸氨基转移酶、肌酐、血尿素氮、降钙素原更高,而血红蛋白、血小板计数更低,差异均有统计学意义(P均<0.05)。重症疟疾预测因素的ROC曲线显示,总胆红素曲线下面积(area under the curve, AUC)为0.896(95% CI:0.810~0.982)(P<0.05)。当约登指数最大时,总胆红素的最佳截断值为48.6 μmol/L,预测重症疟疾的灵敏度为73.9%,特异度为96.2%。结论 重症疟疾患者易出现较重的肝肾损伤,血小板计数和血红蛋白降低、总胆红素升高。总胆红素对预测重症疟疾有一定价值。

关键词: 输入性疟疾, 重症疟疾, 临床特征, 预测指标

Abstract:

Objective To understand the clinical characteristics and predictive indicators of severe imported malaria for a basis in early identification of this infection. Methods Clinical data were collected from the confirmed imported malaria cases treated on hospitalization basis in the Department of Infectious Diseases at the First Affiliated Hospital of Anhui Medical University between December 2013 and September 2024, and the general information, clinical features and laboratory findings of severe and non-severe malaria patients were comparatively analyzed. Logistic regression model and receiver operating characteristic (ROC) curve analysis were used to evaluate the predictive value of relevant laboratory indicators for severe malaria. Results A total of 76 confirmed cases of imported malaria were enrolled, including 23 severe cases and 53 non-severe cases. The infections were primarily imported from African countries (97.37%, 74/76). Fifty-eight cases of Plasmodium falciparum (P. falciparum) infection (76.32%), with a higher proportion of P. falciparum infection in the severe group than in the non-severe group (95.65% vs. 67.92%, χ2 =6.82, P<0.05). The incidences of chills/rigors and Coca-Cola colored urine were higher in the severe group. Compared to the non-severe group, patients in the severe group had significantly higher levels of total bilirubin (TBIL), alanine amino-transferase (ALT), aspartate amino-transferase (AST), creatinine (Cr), blood urea nitrogen (BUN), and procalcitonin (PCT), yet markedly lower hemoglobin (Hb) level and platelet (PLT) counts (all P<0.05). The ROC curve of predictive factors of severe malaria showed that the area under the curve (AUC) of TBIL was 0.896 (95% CI: 0.810-0.982) (P<0.05). The optimal cut-off value for TBIL, determined at the maximum Youden index, was 48.6 μmol/L, yielding a sensitivity of 73.9% and specificity of 96.2% for predicting severe malaria. Conclusion Patients with severe malaria are prone to significant liver and kidney damage, characterized by decreased PLT counts and Hb, and elevated TBIL levels. TBIL has value in predicting severe malaria.

Key words: Imported malaria, Severe malaria, Clinical characteristic, Predictive indicator

中图分类号: